Przyspieszenie ziemskie "g": Wszystko, co musisz wiedzieć o grawitacji
Czym jest małe "g" w fizyce? Poznaj definicję przyspieszenia ziemskiego, jego wartość, czynniki wpływające i różnicę od "G". Sprawdź zastosowania!
Przyspieszenie ziemskie "g": Wszystko, co musisz wiedzieć o grawitacji
Czym jest małe "g" w fizyce? Poznaj definicję przyspieszenia ziemskiego, jego wartość, czynniki wpływające i różnicę od "G". Sprawdź zastosowania!
Niepewność pomiaru w fizyce: Co to? Obliczaj i zapisuj wyniki!
Co to jest niepewność pomiaru w fizyce? Poznaj definicję, źródła i metody obliczania (typ A, B). Dowiedz się, jak poprawnie zapisać wynik pomiaru.
Dlaczego niebo jest niebieskie? Fizyka rozpraszania Rayleigha
Poznaj fizyczne wyjaśnienie, dlaczego niebo jest niebieskie! Odkryj rozpraszanie Rayleigha, wpływ atmosfery i barwy zachodu słońca. Sprawdź, jak to działa!
Co po fizyce? 15+ ścieżek kariery od IT po medycynę!
Odkryj, co można robić po fizyce! Poznaj 15+ ścieżek kariery w IT, finansach, medycynie i przemyśle. Wykorzystaj unikalne umiejętności i zaplanuj sukces.
Jak obliczyć ciśnienie w fizyce? Wzory, zadania i błędy do uniknięcia
Jak obliczyć ciśnienie w fizyce? Poznaj wzory (p=F/S, p=ρgh), jednostki i rozwiązane zadania krok po kroku. Uniknij typowych błędów! Sprawdź nasz poradnik.
Fizyka ruchu: Kinematyka jak opisać świat w ciągłej zmianie?
Odkryj, jak fizyka opisuje ruch! Poznaj kluczowe pojęcia kinematyki: względność, drogę, przemieszczenie, prędkość i przyspieszenie. Zrozum wzory i wykresy.
Elipsa w fizyce: Jak prawa Keplera kształtują kosmiczne orbity?
Odkryj, czym jest elipsa w fizyce, poznaj prawa Keplera i zrozum, jak grawitacja kształtuje kosmiczne orbity. Sprawdź jej zaskakujące zastosowania!
Biologia, chemia, fizyka: Jak je opanować i uczynić prostymi?
Odkryj sprawdzone metody nauki biologii, chemii i fizyki. Poznaj techniki, zasoby i wskazówki, by opanować trudne przedmioty i osiągnąć sukces. Sprawdź nasz poradnik!
Rezonans w fizyce: Od katastrof po ratunek w medycynie
Odkryj, czym jest rezonans w fizyce! Zrozum jego mechanizm, typy i zastosowania od katastrof mostów po ratujące życie MRI. Dowiedz się więcej!
Fizyka rozszerzona w liceum: Czy to wyzwanie dla Ciebie?
Fizyka rozszerzona w liceum to wyzwanie. Dowiedz się, dlaczego jest trudna, jak ocenić swoje predyspozycje i skutecznie opanować materiał. Sprawdź, czy to dla Ciebie!
Soczewki w fizyce: Jak działają? Obrazy, wady, zastosowania
Dowiedz się, jak działają soczewki w fizyce. Poznaj ich typy (skupiające, rozpraszające), kluczowe parametry, tworzenie obrazów i praktyczne zastosowania.
Wieloznaczny symbol "n" w fizyce: Jak go poprawnie interpretować?
Odkryj wszystkie znaczenia symbolu "n" w fizyce! Od optyki po kwantową, naucz się rozróżniać konteksty i unikaj pomyłek. Sprawdź kompleksowy przewodnik.
Jak zamieniać jednostki w fizyce? Koniec z błędami!
Opanuj zamianę jednostek w fizyce! Poznaj metodę łańcuszkową, przedrostki SI i unikaj typowych błędów. Sprawdź prosty poradnik krok po kroku.
Matura z fizyki: Przybory, zakazy CKE. Sprawdź, co musisz mieć!
Co zabrać na maturę z fizyki? Oficjalna lista CKE: dozwolone przybory (kalkulator naukowy, linijka) i zakazy. Uniknij błędów, zdaj bez stresu!
Waga podręcznika fizyki: Czy plecak dziecka jest za ciężki?
Waga podręcznika fizyki to początek. Sprawdź, ile powinien ważyć plecak dziecka wg GIS i WHO. Odkryj skuteczne sposoby na odciążenie tornistra.
Jony w fizyce: Czym są i dlaczego są kluczowe?
Odkryj, czym są jony w fizyce, jak powstają (kationy, aniony) i ich kluczową rolę w naturze i technologii. Zrozum ich znaczenie dla świata!
Tor ruchu w fizyce: Co to jest i dlaczego to klucz do zrozumienia?
Odkryj, czym jest tor ruchu w fizyce! Poznaj definicję, rodzaje i różnice między torem, drogą a przemieszczeniem. Zrozum, jak siły kształtują trajektorie. Sprawdź!
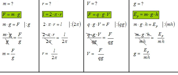
Jak przekształcać wzory fizyka? Opanuj to krok po kroku!
Opanuj przekształcanie wzorów fizycznych krok po kroku! Poznaj złote zasady, unikaj błędów i zyskaj supermoc w rozwiązywaniu zadań. Sprawdź nasz poradnik!
Fizyka w szkole: Od kiedy, co w programie i zmiany 2026?
Dowiedz się, w której klasie zaczyna się fizyka w polskiej szkole! Poznaj program nauczania, jak przygotować dziecko i co zmieni się od 2026 roku. Sprawdź!
Co to jest wektor w fizyce? Zrozum cechy i zastosowania!
Czym jest wektor w fizyce? Odkryj jego 4 cechy, przykłady (siła, prędkość) i podstawowe operacje. Niezbędny przewodnik dla uczniów i studentów. Dowiedz się więcej!
Co to jest fizyka? Odkryj, jak napędza Twój codzienny świat!
Zrozum, co to jest fizyka! Poznaj jej działy i odkryj, jak ta nauka kształtuje technologię, medycynę i Twoje codzienne życie. Sprawdź, dlaczego warto ją znać!
Fizyka kwantowa: Przewodnik po świecie, który zmienia rzeczywistość
Odkryj fascynujący świat fizyki kwantowej! Zrozum jej podstawy, poznaj "dziwne" zasady mikroświata i zobacz, jak zmienia technologię wokół nas.
Wahadło matematyczne: Zbuduj projekt na 5! Poradnik krok po kroku
Wahadło matematyczne: Zbuduj je krok po kroku na projekt szkolny! Dowiedz się, jak mierzyć okres drgań i uniknąć błędów. Zdobądź najlepszą ocenę!
Fizyka matura: 180 min. Strategie, arkusz, przybory Twój sukces!
Matura z fizyki trwa 180 min! Poznaj strategie zarządzania czasem, strukturę arkusza CKE i dozwolone przybory. Zmaksymalizuj swój wynik!
Co to fizyka? Odkryj jej sekrety i wpływ na Twoje życie!
Co to fizyka? Poznaj jej definicję, główne działy i praktyczne zastosowania w technologii, medycynie i kosmosie. Odkryj, jak fizyka zmienia świat!