Gen: Co to jest? Od DNA do cechy kompletny przewodnik.
Co to jest gen w biologii? Poznaj jego budowę, funkcje i rolę w dziedziczeniu. Zrozum różnice między genem, DNA a genomem. Sprawdź nasz przewodnik!
Gen: Co to jest? Od DNA do cechy kompletny przewodnik.
Co to jest gen w biologii? Poznaj jego budowę, funkcje i rolę w dziedziczeniu. Zrozum różnice między genem, DNA a genomem. Sprawdź nasz przewodnik!
Sukcesja ekologiczna: Jak natura leczy rany i tworzy życie od nowa?
Poznaj sukcesję ekologiczną: uporządkowany proces zmian w przyrodzie. Dowiedz się, jak życie zdobywa nowe terytoria i jak ekosystemy leczą rany.
Dlaczego woda jest fundamentem życia? Unikalne właściwości H₂O
Poznaj kluczowe właściwości wody i jej rolę w życiu. Od termoregulacji po bilans wodny odkryj, dlaczego H₂O to fundament życia na Ziemi.
Genetyka: Czym jest i jak DNA kształtuje Twoje życie?
Odkryj, czym jest genetyka nauka o dziedziczeniu i zmienności życia. Poznaj DNA, geny, prawa Mendla i zastosowania w medycynie. Sprawdź, jak genetyka kształtuje nasz świat!
Biologia sądowa: Czy warto? Studia i praca bez serialowych mitów
Biologia sądowa: czy warto? Poznaj realia studiów i pracy w Polsce. Sprawdź, co naprawdę robi biolog sądowy, jakie są zarobki i gdzie szukać pracy.
Co to jest systematyka w biologii? Odkryj porządek życia!
Co to jest systematyka w biologii? Poznaj definicję, historię, hierarchię i współczesne metody. Dowiedz się, jak porządkujemy życie i dlaczego to ważne!
Metabolizm: Klucz do energii i zdrowia. Jak działa Twoje ciało?
Odkryj sekrety metabolizmu! Zrozum anabolizm, katabolizm, rolę ATP i czynniki wpływające na Twoją przemianę materii. Zwiększ swoją wiedzę.
Biologia w szkole podstawowej: Kiedy start i co z reformą 2026?
Biologia w szkole podstawowej: kiedy startuje, co obejmuje program i jakie zmiany czekają uczniów? Sprawdź aktualną i przyszłą podstawę programową.
Jak uczyć biologii? Studia, kwalifikacje i przygotowanie pedagogiczne
Dowiedz się, jak zostać nauczycielem biologii w Polsce! Poznaj wymagane studia magisterskie, przygotowanie pedagogiczne i alternatywne ścieżki.
Jak dbać o skórę? Biologia ujawnia sekrety piękna!
Poznaj biologiczne podstawy zdrowej skóry! Dowiedz się, jak dbać o skórę, rozumiejąc wpływ UV, hormonów i mikrobiomu. Odkryj sekrety świadomej pielęgnacji.
Kiedy biologia rozszerzona? Decyzja, terminy, studia i sukces!
Biologia rozszerzona: kiedy podjąć decyzję, jakie studia otwiera i jak się przygotować? Poznaj terminy maturalne 2026 i zaplanuj przyszłość!
Co to jest konkurencja w biologii? Poznaj jej sekrety!
Poznaj, co to jest konkurencja w biologii! Odkryj jej rodzaje, mechanizmy i wpływ na ewolucję oraz ekosystemy. Dowiedz się więcej o tej kluczowej sile!
Nauczyciel biologii: Jak zacząć i awansować? Pełny poradnik
Chcesz zostać nauczycielem biologii? Poznaj ścieżkę kariery: studia, kwalifikacje pedagogiczne, awans zawodowy i zarobki. Sprawdź kompleksowy przewodnik!
Kiedy biologia w szkole podstawowej? Start w 5. klasie i zmiany od 2026
Dowiedz się, kiedy biologia pojawia się w szkole podstawowej (5. klasa), co ją poprzedza i jakie zmiany w programie czekają od 2026. Sprawdź zakres materiału!
Czym zajmuje się biologia? Odkryj naukę o życiu i jej znaczenie
<p>Poznaj definicję biologii, jej kluczowe dziedziny i praktyczne zastosowania. Dowiedz się, jak nauka o życiu zmienia świat i otwiera ścieżki kariery!</p>
Totalna Biologia: Co to jest? Prawda czy zagrożenie dla zdrowia?
Totalna Biologia: poznaj kontrowersyjną koncepcję łączącą choroby z emocjami. Czy to nadzieja, czy zagrożenie? Sprawdź, co mówi nauka!
Totalna Biologia: Co to jest? Emocje, choroby i kontrowersje naukowe
Totalna Biologia (Recall Healing): Odkryj, jak wiąże emocje z chorobami i dlaczego nauka uznaje ją za pseudonaukę. Poznaj założenia i ryzyka.
Osmoza: Niewidzialna siła, która napędza życie komórek
Zrozum osmozę: kluczowy proces transportu wody w komórkach. Poznaj jej mechanizm, wpływ na rośliny i zwierzęta oraz codzienne zastosowania. Sprawdź!
Transkrypcja: Jak DNA staje się RNA? Proces krok po kroku
Odkryj, czym jest transkrypcja w biologii: jej etapy, różnice u pro- i eukariontów oraz znaczenie dla życia komórki. Zrozum ekspresję genów!
Komórka: Co to jest? Budowa, funkcje i typy życia
Co to jest komórka? Poznaj jej budowę, funkcje i kluczowe różnice między typami. Przewodnik po świecie komórek eukariotycznych i prokariotycznych. Sprawdź!
Wektor w biologii: Genetyczny vs epidemiologiczny rozwiej wątpliwości
Odkryj dwa kluczowe znaczenia wektora w biologii! Rozróżnij wektor genetyczny (plazmidy) od epidemiologicznego (kleszcze). Poznaj ich rolę w nauce i zdrowiu.
Jaki zeszyt do biologii? Kratka to klucz do sukcesu w nauce!
Zastanawiasz się, jaki zeszyt do biologii wybrać? Dowiedz się, dlaczego kratka to najlepszy wybór do rysowania schematów i efektywnej nauki. Sprawdź porady!
Jakie są dziedziny biologii? Poznaj świat od molekuł po ekosystemy
Odkryj, jakie są dziedziny biologii! Przewodnik po klasycznych i nowoczesnych gałęziach nauki o życiu, od molekuł po ekosystemy. Uporządkuj swoją wiedzę.
Model DNA na biologię: Zbuduj go sam i zachwyć nauczyciela!
Zbuduj model DNA na biologię krok po kroku! Poznaj proste instrukcje, materiały (żelki, plastelina) i triki, by zdobyć 5. Uniknij błędów i zachwyć nauczyciela!
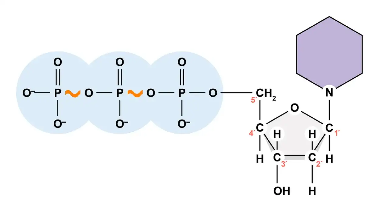
ATP biologia: Jak komórki zasilają życie? Odkryj sekret energii!
Co to jest ATP w biologii? Poznaj budowę, cykl i kluczowe funkcje adenozynotrifosforanu uniwersalnej waluty energetycznej komórek. Dowiedz się, skąd bierze się energia!