Chemioterapia w nowotworach: zrozum, jak działa, jakie są jej rodzaje i cele. Poznaj skuteczne sposoby radzenia sobie ze skutkami ubocznymi. Sprawdź!
Najnowsze artykuły - Strona 7
Odkryj, czym jest twierdzenie w fizyce i jak stosować je do rozwiązywania zadań. Poznaj kluczowe zasady, unikaj błędów i opanuj fizykę! Sprawdź nasz przewodnik.
Co to jest komórka? Poznaj jej budowę, funkcje i kluczowe różnice między typami. Przewodnik po świecie komórek eukariotycznych i prokariotycznych. Sprawdź!
Odkryj dwa kluczowe znaczenia wektora w biologii! Rozróżnij wektor genetyczny (plazmidy) od epidemiologicznego (kleszcze). Poznaj ich rolę w nauce i zdrowiu.
Jakie studia po biol-chemie? Odkryj szerokie możliwości kariery! Poznaj kierunki medyczne, naukowe i innowacyjne. Sprawdź wymagania rekrutacyjne i wybierz ścieżkę dla siebie.
Co oznacza litera W w fizyce? Rozwiej wątpliwości! Poznaj różnice między pracą, watem a prędkością kątową. Sprawdź nasz przewodnik.
Odkryj sekrety fal mechanicznych! Zrozum odbicie, załamanie, dyfrakcję, interferencję, efekt Dopplera i tłumienie. Sprawdź, jak działają!
Zmień kuchnię w laboratorium! Poznaj bezpieczne domowe eksperymenty dla dzieci (3-9 lat) z sody, octu, mleka. Rozwijaj kreatywność i myślenie naukowe.
Zrozum punkt przyłożenia siły w fizyce. Dowiedz się, jak jego położenie decyduje o ruchu, obrocie i stabilności obiektów. Sprawdź, dlaczego jest tak ważny!
Zastanawiasz się, jaki zeszyt do biologii wybrać? Dowiedz się, dlaczego kratka to najlepszy wybór do rysowania schematów i efektywnej nauki. Sprawdź porady!
Poznaj definicję układu chemicznego i jego rodzaje: otwarte, zamknięte, izolowane, homogeniczne, heterogeniczne. Zrozum kluczowe pojęcie chemii z przykładami!
Odkryj proste i bezpieczne eksperymenty dla dzieci z mlekiem! Zrób magiczną tęczę, domowy plastik czy niewidzialny atrament. Rozwijaj ciekawość dziecka!
Na czym polegają zjawiska krasowe? Kompleksowy przewodnik po mechanizmach, formach (jaskinie, ostańce) i występowaniu w Polsce. Odkryj sekrety krasu!
Zanurz się w świat 10 najpiękniejszych eksperymentów z fizyki. Dowiedz się, co sprawia, że są tak eleganckie i jak wpłynęły na nasze rozumienie rzeczywistości.
Odkryj, jakie są dziedziny biologii! Przewodnik po klasycznych i nowoczesnych gałęziach nauki o życiu, od molekuł po ekosystemy. Uporządkuj swoją wiedzę.
Opanuj przekształcanie wzorów z fizyki krok po kroku! Poznaj złote zasady, unikaj błędów i zyskaj pewność siebie w rozwiązywaniu zadań. Sprawdź nasz poradnik!
Odkryj, czym jest włoskowatość (kapilarność) i jak działa! Poznaj mechanizmy, przykłady z natury, domu i technologii. Zrozum fizykę wokół nas.
Wybierz idealną chemię do prania tapicerki samochodowej! Poznaj rodzaje środków, dopasuj do materiału i metody. Uniknij błędów, sprawdź ranking.
Masa krytyczna w fizyce jądrowej: zrozum, czym jest, od czego zależy i jak wykorzystujemy ją w energetyce oraz broni atomowej. Odkryj sekrety!
Odkryj 12 prostych i bezpiecznych eksperymentów przyrodniczych dla 9-10 latka! Rozbudź ciekawość dziecka, wykonując je w domu. Sprawdź instrukcje krok po kroku.
Co to jest materia w chemii? Odkryj jej definicję, budowę z atomów i cząsteczek, stany skupienia oraz klasyfikację. Zrozum podstawy chemii!
Zbuduj model DNA na biologię krok po kroku! Poznaj proste instrukcje, materiały (żelki, plastelina) i triki, by zdobyć 5. Uniknij błędów i zachwyć nauczyciela!
Aquaplaning: Zrozum, czym jest, jakie czynniki zwiększają ryzyko i jak skutecznie zapobiegać. Dowiedz się, jak reagować w poślizgu i bezpiecznie jeździć.
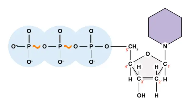
Co to jest ATP w biologii? Poznaj budowę, cykl i kluczowe funkcje adenozynotrifosforanu uniwersalnej waluty energetycznej komórek. Dowiedz się, skąd bierze się energia!
Co to jest zol w chemii? Poznaj definicję, różnice od roztworów, typy i zastosowania w życiu codziennym. Zrozum świat układów koloidalnych!