Adenozynotrifosforan, powszechnie znany jako ATP, to jedna z najbardziej fundamentalnych cząsteczek w biologii. Zrozumienie jego budowy, syntezy i roli jest absolutnie kluczowe do pojęcia, jak funkcjonuje każda żywa komórka i cały organizm od najmniejszej bakterii po człowieka.
Adenozynotrifosforan (ATP) uniwersalna waluta energetyczna komórek
- ATP to główny i uniwersalny nośnik energii chemicznej, niezbędny do życia wszystkich organizmów.
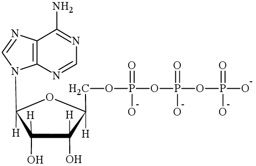
- Cząsteczka ATP składa się z adeniny, rybozy i trzech reszt fosforanowych, połączonych wysokoenergetycznymi wiązaniami.
- Energia jest uwalniana przez hydrolizę ATP do ADP i Pi, a magazynowana przez fosforylację ADP do ATP, tworząc nieustanny cykl.
- Główne procesy syntezy ATP to fosforylacja substratowa, oksydacyjna (w mitochondriach) i fotosyntetyczna (w chloroplastach).
- ATP napędza kluczowe procesy życiowe, takie jak skurcz mięśni, transport aktywny, synteza makrocząsteczek i przewodnictwo nerwowe.
- Organizm nie magazynuje ATP, lecz nieustannie je produkuje i zużywa w ogromnych ilościach, aby podtrzymać funkcje życiowe.
ATP klucz do energii w każdej komórce
ATP: Definicja dla początkujących
ATP, czyli adenozynotrifosforan, to organiczny związek chemiczny, który jest uniwersalnym i głównym nośnikiem energii w komórkach wszystkich żywych organizmów. Jest często nazywany "walutą energetyczną" komórki.
Dlaczego ATP nazywane jest "walutą energetyczną" organizmu?
Metafora "waluty energetycznej" doskonale oddaje rolę ATP w komórce. Podobnie jak pieniądze, ATP jest uniwersalnym środkiem płatniczym, który może być "wydany" na niemal każdy proces wymagający energii. Jest produkowane w jednym miejscu (np. w mitochondriach), a następnie transportowane tam, gdzie jest potrzebne, by zasilić skurcz mięśnia, syntezę białka czy aktywny transport jonów. Jego zdolność do szybkiego uwalniania i magazynowania energii na żądanie sprawia, że jest niezastąpione w dynamicznym środowisku komórkowym.

Anatomia komórkowej baterii: jak zbudowana jest cząsteczka ATP?
Trzy kluczowe elementy: adenina, ryboza i reszty fosforanowe
Aby zrozumieć, jak ATP działa, musimy przyjrzeć się jego budowie. Ta niezwykła cząsteczka składa się z trzech głównych elementów. Pierwszym jest adenina, zasada azotowa, która jest również składnikiem DNA i RNA. Do adeniny przyłączony jest drugi element ryboza, pięciowęglowy cukier (pentoza). Razem adenina i ryboza tworzą adenozynę. Najważniejszym elementem, który nadaje ATP jego energetyczne właściwości, są trzy połączone ze sobą szeregowo reszty fosforanowe, tworzące grupę trifosforanową.
Tajemnica "wysokoenergetycznych wiązań": Gdzie ukryta jest moc?
Prawdziwa moc ATP tkwi w wiązaniach pomiędzy resztami fosforanowymi, a konkretnie w dwóch ostatnich z nich. Nazywamy je wysokoenergetycznymi wiązaniami. Dlaczego są tak wyjątkowe? Otóż, gdy te wiązania ulegają rozpadowi (proces ten nazywamy hydrolizą), uwalniana jest znaczna ilość energii. To właśnie ta energia jest następnie wykorzystywana przez komórkę do napędzania wszystkich procesów życiowych. Można to porównać do sprężyny, która po zwolnieniu oddaje zgromadzoną w niej siłę.
Wizualizacja cząsteczki: Jak wygląda ATP?
Złożona budowa ATP, z jej adeniną, rybozą i trzema fosforanami, może wydawać się skomplikowana. Jednak dzięki schematom i modelom wizualnym, które przedstawiają ułożenie tych elementów, znacznie łatwiej jest zrozumieć, jak ta miniaturowa "bateria" komórkowa jest skonstruowana i jak magazynuje energię.

Cykl ATP/ADP wieczny obieg energii w komórce
Jak ATP uwalnia energię? Rola hydrolizy w powstawaniu ADP
Kiedy komórka potrzebuje energii, ATP wchodzi do akcji. Proces uwalniania energii następuje poprzez odłączenie jednej reszty fosforanowej od cząsteczki ATP. Ten proces, zwany hydrolizą, wymaga cząsteczki wody. W jego wyniku powstaje adenozynodifosforan (ADP), czyli ATP z dwoma resztami fosforanowymi, oraz wolny fosforan nieorganiczny (Pi). To właśnie w tym momencie energia zgromadzona w wysokoenergetycznym wiązaniu zostaje uwolniona i staje się dostępna dla komórki.
Z ADP z powrotem do ATP: Czym jest fosforylacja?
Na szczęście proces ten jest odwracalny. Komórka nieustannie "ładuje" swoje "baterie". Proces ponownego dołączania reszty fosforanowej do ADP, w celu odtworzenia ATP, nazywamy fosforylacją. Ten proces wymaga dostarczenia energii, która pochodzi zazwyczaj z rozkładu składników pokarmowych (np. glukozy) lub ze światła słonecznego. Dzięki fosforylacji ADP ponownie staje się ATP, gotowym do kolejnego cyklu uwalniania energii.
Znaczenie cyklu ATP/ADP dla nieprzerwanego zasilania procesów życiowych
Ten nieustanny i odwracalny cykl ATP-ADP jest absolutnie fundamentalny dla życia. Pozwala on na efektywne i ciągłe przenoszenie oraz magazynowanie energii w komórce. Wyobraźmy sobie, że organizm miałby magazynować całą potrzebną energię w postaci gotowego ATP byłoby to niemożliwe ze względu na ogromne ilości. Zamiast tego, komórka nieustannie przetwarza ADP w ATP i odwrotnie, zapewniając sobie nieprzerwane zasilanie wszystkich, nawet najbardziej skomplikowanych, procesów życiowych.
Główne fabryki ATP w organizmie: skąd komórka bierze energię?
Fosforylacja substratowa: Szybkie pozyskiwanie energii w cytoplazmie
Jednym z najszybszych sposobów produkcji ATP jest fosforylacja substratowa. W tym procesie reszta fosforanowa jest przenoszona bezpośrednio z cząsteczki substratu organicznego o wysokim potencjale energetycznym na ADP, tworząc ATP. Nie wymaga to skomplikowanych maszynerii błonowych. Proces ten zachodzi między innymi podczas glikolizy (rozpadu glukozy) w cytoplazmie oraz w cyklu Krebsa w mitochondriach. W mięśniach szkieletowych, szczególnie podczas intensywnego wysiłku, do szybkiej resyntezy ATP wykorzystywana jest również fosfokreatyna, oddając swoją resztę fosforanową do ADP.
Fosforylacja oksydacyjna: Potęga mitochondriów i oddychania komórkowego
Najwydajniejszym sposobem produkcji ATP w większości organizmów eukariotycznych jest fosforylacja oksydacyjna. Ten złożony proces zachodzi w mitochondriach, często nazywanych "elektrowniami komórkowymi", podczas oddychania komórkowego. To tutaj, w obecności tlenu, z cząsteczek pokarmowych (takich jak glukoza czy kwasy tłuszczowe) wydobywana jest maksymalna ilość energii, która następnie jest magazynowana w ATP.
Rola łańcucha oddechowego w tworzeniu gradientu protonowego
Kluczowym elementem fosforylacji oksydacyjnej jest łańcuch oddechowy, zlokalizowany w wewnętrznej błonie mitochondrialnej. Jest to seria kompleksów białkowych, które transportują elektrony. Energia uwalniana podczas tego transportu jest wykorzystywana do aktywnego pompowania protonów (jonów H+) z matriks mitochondrialnej do przestrzeni międzybłonowej. W ten sposób powstaje gradient protonowy różnica stężeń protonów po obu stronach błony, która jest formą energii potencjalnej, niczym woda spiętrzona w zaporze.
Syntaza ATP: Molekularna turbina produkująca energię
Zgromadzona energia w gradiencie protonowym jest następnie wykorzystywana przez niezwykły enzym syntazę ATP. Ten kompleks białkowy działa jak molekularna turbina. Protony przepływają przez niego z powrotem do matriks, zgodnie z gradientem stężeń, a ich ruch napędza obrót części enzymu. Ten obrót mechanicznie "dociska" wolny fosforan do ADP, syntetyzując ATP. To naprawdę fascynujący przykład, jak mechaniczna siła jest przekształcana w energię chemiczną.
Fosforylacja fotosyntetyczna: Jak rośliny zamieniają światło słoneczne w ATP?
U roślin, alg i niektórych bakterii istnieje jeszcze jeden, równie ważny sposób produkcji ATP fosforylacja fotosyntetyczna (zwana też fotofosforylacją). Proces ten zachodzi w chloroplastach podczas fotosyntezy. Energia świetlna jest absorbowana przez chlorofil i wykorzystywana do wzbudzenia elektronów, które następnie przepływają przez łańcuch transportu elektronów, podobny do tego w mitochondriach. Również tutaj powstaje gradient protonowy, który napędza syntazę ATP, przekształcając energię świetlną bezpośrednio w energię chemiczną zmagazynowaną w ATP.
Wszechstronna rola ATP: konkretne przykłady wykorzystania energii
Napęd dla mięśni: Jak ATP umożliwia każdy ruch?
Jednym z najbardziej oczywistych przykładów wykorzystania ATP jest praca mechaniczna. Każdy skurcz mięśnia, od mrugnięcia okiem po podniesienie ciężaru, jest napędzany energią pochodzącą z hydrolizy ATP. Cząsteczki miozyny, białka odpowiedzialnego za skurcz, wykorzystują ATP do zmiany swojej konformacji i "przesuwania" włókien aktynowych. Podobnie, ruch rzęsek i wici, które umożliwiają poruszanie się wielu mikroorganizmów czy transport śluzu w naszych drogach oddechowych, również wymaga stałego dopływu ATP.
Strażnik granic komórki: Rola w transporcie aktywnym i pompie sodowo-potasowej
Komórki muszą aktywnie kontrolować swoje środowisko wewnętrzne, często transportując substancje przez błony komórkowe wbrew gradientowi stężeń czyli z obszaru niższego stężenia do wyższego. Ten proces, zwany transportem aktywnym, jest wysoce energochłonny i wymaga ATP. Doskonałym przykładem jest pompa sodowo-potasowa, kluczowa dla utrzymania potencjału błonowego w neuronach i innych komórkach. Pompa ta aktywnie wypompowuje jony sodu z komórki i wprowadza jony potasu, zużywając ATP przy każdym cyklu.
Budulec życia: Energia ATP w syntezie białek i DNA
ATP jest również niezbędne do syntezy makrocząsteczek, które stanowią budulec życia. Procesy takie jak replikacja DNA, transkrypcja RNA czy synteza białek na rybosomach wymagają znacznych ilości energii, dostarczanej przez ATP. Bez ATP niemożliwe byłoby tworzenie nowych komórek, naprawa tkanek czy produkcja enzymów i hormonów, które regulują wszystkie funkcje organizmu.
Iskra myśli: Znaczenie ATP dla układu nerwowego
Nasz mózg, choć stanowi niewielki procent masy ciała, zużywa ogromne ilości energii, głównie w postaci ATP. Jest ono kluczowe dla prawidłowego funkcjonowania układu nerwowego. ATP zasila pompy jonowe, które utrzymują potencjał błonowy neuronów, umożliwiając przewodzenie impulsów nerwowych. Jest również niezbędne do syntezy wielu neuroprzekaźników, które odpowiadają za komunikację między neuronami, a tym samym za nasze myśli, emocje i ruchy.
ATP jako cząsteczka sygnałowa: Ukryta rola w komunikacji międzykomórkowej
Co ciekawe, ATP i jego pochodne, takie jak ADP czy adenozyna, mają również bardziej subtelną rolę mogą działać jako cząsteczki sygnałowe. Wiążąc się z receptorami na powierzchni komórek, wpływają na komunikację międzykomórkową, regulując takie procesy jak rozszerzanie naczyń krwionośnych, reakcje zapalne czy nawet odczuwanie bólu. To pokazuje, jak wszechstronna jest ta prosta, a jednocześnie niezwykle złożona cząsteczka.
Przeczytaj również: Genetyka: Czym jest i jak DNA kształtuje Twoje życie?
Niedobór ATP: co się dzieje, gdy komórkom brakuje energii?
Zaburzenia mitochondrialne a produkcja ATP
Jak już wspomniałem, organizm nie magazynuje ATP w dużych ilościach, lecz nieustannie je produkuje i zużywa. Oznacza to, że wszelkie zaburzenia w procesach jego produkcji, zwłaszcza w mitochondriach, które są głównymi "fabrykami" ATP, prowadzą do poważnych deficytów energetycznych w komórkach. Choroby mitochondrialne, w których dochodzi do uszkodzenia tych organelli, mogą mieć katastrofalne skutki dla tkanek o wysokim zapotrzebowaniu na energię, takich jak mózg, mięśnie czy serce.
Konsekwencje deficytów energetycznych dla zdrowia
Brak wystarczającej ilości ATP ma dramatyczne konsekwencje dla funkcjonowania komórek i całego organizmu. Bez stałej i efektywnej produkcji ATP, procesy życiowe nie mogą być podtrzymane. Komórki nie są w stanie wykonywać swojej pracy mięśnie słabną, neurony przestają przewodzić impulsy, a synteza niezbędnych białek ustaje. W efekcie prowadzi to do szerokiego spektrum zaburzeń zdrowotnych, od chronicznego zmęczenia po poważne choroby neurodegeneracyjne czy kardiologiczne. To tylko potwierdza, jak kluczową rolę w naszym życiu odgrywa ta mała, ale potężna cząsteczka.





