Nazywam się Tadeusz Ostrowski i od ponad dziesięciu lat angażuję się w tematykę edukacji, analizując różnorodne aspekty tego dynamicznego obszaru. Moje doświadczenie jako doświadczony twórca treści pozwala mi na zgłębianie zagadnień związanych z metodami nauczania, innowacjami w edukacji oraz wpływem technologii na proces uczenia się.
Specjalizuję się w dostarczaniu rzetelnych informacji, które pomagają zrozumieć złożoność systemów edukacyjnych oraz ich ewolucję w obliczu zmieniających się potrzeb społeczeństwa. Moim celem jest uproszczenie skomplikowanych danych oraz dostarczanie obiektywnej analizy, aby każdy mógł znaleźć w moich tekstach wartościowe i praktyczne wskazówki.
Zobowiązuję się do dostarczania aktualnych i wiarygodnych informacji, które wspierają czytelników w ich dążeniu do wiedzy. Wierzę, że edukacja jest kluczem do rozwoju, dlatego staram się, aby moje artykuły były nie tylko informacyjne, ale także inspirujące.
Co to jest komórka? Poznaj jej budowę, funkcje i kluczowe różnice między typami. Przewodnik po świecie komórek eukariotycznych i prokariotycznych. Sprawdź!
Poznaj definicję układu chemicznego i jego rodzaje: otwarte, zamknięte, izolowane, homogeniczne, heterogeniczne. Zrozum kluczowe pojęcie chemii z przykładami!
Odkryj proste i bezpieczne eksperymenty dla dzieci z mlekiem! Zrób magiczną tęczę, domowy plastik czy niewidzialny atrament. Rozwijaj ciekawość dziecka!
Odkryj proste eksperymenty z przyrody dla klasy 4! Wykonaj je w domu z dzieckiem, używając łatwych materiałów. Rozbudź ciekawość i ucz się przez zabawę!
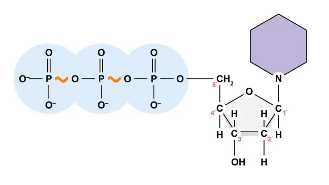
Zbuduj model DNA na biologię krok po kroku! Poznaj proste instrukcje, materiały (żelki, plastelina) i triki, by zdobyć 5. Uniknij błędów i zachwyć nauczyciela!
Aquaplaning: Zrozum, czym jest, jakie czynniki zwiększają ryzyko i jak skutecznie zapobiegać. Dowiedz się, jak reagować w poślizgu i bezpiecznie jeździć.