Dziecko i nieznajomy: Szokujące eksperymenty i plan bezpieczeństwa
Poznaj szokujące wyniki eksperymentów "dziecko i nieznajomy". Dowiedz się, jak skutecznie uczyć dziecko asertywności i bezpieczeństwa. Sprawdź nasz plan!
Poznaj szokujące wyniki eksperymentów "dziecko i nieznajomy". Dowiedz się, jak skutecznie uczyć dziecko asertywności i bezpieczeństwa. Sprawdź nasz plan!
Odkryj zaskakujące przykłady wykorzystania magnetyzmu w domu, medycynie i transporcie. Sprawdź, jak ta niewidzialna siła kształtuje nasz świat!
Co to jest gen w biologii? Poznaj jego budowę, funkcje i rolę w dziedziczeniu. Zrozum różnice między genem, DNA a genomem. Sprawdź nasz przewodnik!
Waga podręcznika fizyki to początek. Sprawdź, ile powinien ważyć plecak dziecka wg GIS i WHO. Odkryj skuteczne sposoby na odciążenie tornistra.
Poznaj sukcesję ekologiczną: czym jest, rodzaje (pierwotna, wtórna) i etapy. Dowiedz się, jak przyroda się odnawia i dlaczego to klucz dla ekosystemów!
Co to jest fading? Poznaj przyczyny zaniku hamulców i sygnału. Dowiedz się, jak zapobiegać utracie bezpieczeństwa i zasięgu. Sprawdź porady eksperta!
Odkryj, czym są jony w fizyce, jak powstają (kationy, aniony) i ich kluczową rolę w naturze i technologii. Zrozum ich znaczenie dla świata!
Co to jest atom? Poznaj jego budowę, historię i praktyczne zastosowania. Odkryj, jak ten fundamentalny budulec materii kształtuje nasz świat!
Poznaj fascynujące eksperymenty z ożywianiem organizmów! Od historycznych prób po współczesne granice reanimacji i dylematy etyczne. Sprawdź, co jest mitem.
Zbuduj model atomu węgla na chemię krok po kroku! Poznaj listę materiałów, proste instrukcje i uniknij błędów. Sprawdź, jak stworzyć idealny model!
Eksperyment z balonem i sodą krok po kroku! Odkryj, jak napompować balon octem i sodą, poznaj naukowe wyjaśnienie i bezpieczne wskazówki. Idealna zabawa dla dzieci!
Spalanie węgla to reakcja chemiczna! Poznaj kluczowe różnice, mechanizmy i produkty (CO₂, CO, sadza). Sprawdź, jak wpływa na środowisko.
Poznaj kluczowe właściwości wody i jej rolę w życiu. Od termoregulacji po bilans wodny odkryj, dlaczego H₂O to fundament życia na Ziemi.
Odkryj proste i bezpieczne eksperymenty z warzywami dla dzieci! Rozbudź ciekawość, ucz biologii i chemii, zachęć do zdrowych nawyków. Sprawdź instrukcje krok po kroku.
Czym jest genetyka? Poznaj definicje, historię od Mendla do DNA, zastosowania w medycynie, rolnictwie i kryminalistyce. Odkryj sekrety życia!
Na czym polega zjawisko echa? Poznaj definicję, warunki powstawania (17m!), różnice od pogłosu i zastosowania w naturze i technologii. Sprawdź, jak je kontrolować!
Odkryj, czym jest tor ruchu w fizyce! Poznaj definicję, rodzaje i różnice między torem, drogą a przemieszczeniem. Zrozum, jak siły kształtują trajektorie. Sprawdź!
Co to jest korozja w chemii? Poznaj mechanizmy, rodzaje i skuteczne metody ochrony metali przed niszczeniem. Dowiedz się, jak działa rdza!
Naucz się rozpoznawać niebezpieczne chmury: Cumulonimbus, Arcus, Mammatus i superkomórki. Zrozum sygnały burzy i zwiększ swoje bezpieczeństwo. Sprawdź nasz poradnik!
Biologia sądowa: czy warto? Poznaj realia studiów i pracy w Polsce. Sprawdź, co naprawdę robi biolog sądowy, jakie są zarobki i gdzie szukać pracy.
Odkryj "Uniwersum 25" Calhouna: jak mysia utopia upadła i co to znaczy dla ludzi. Poznaj etykę badań na zwierzętach i przyszłość nauki.
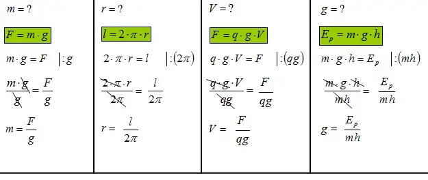
Opanuj przekształcanie wzorów fizycznych krok po kroku! Poznaj złote zasady, unikaj błędów i zyskaj supermoc w rozwiązywaniu zadań. Sprawdź nasz poradnik!
Odkryj, jak zbudowany jest atom od protonów i neutronów w jądrze po elektrony na powłokach. Zrozum jego strukturę i znaczenie dla materii.
Oblicz ładunek atomu, który stał się jonem! Nasz przewodnik krok po kroku wyjaśnia kationy, aniony i jak unikać błędów. Zrozum chemię łatwo!
Odkryj fascynujące eksperymenty z suchym lodem! Poznaj bezpieczne instrukcje, naukowe wyjaśnienia i dowiedz się, gdzie go kupić. Sprawdź nasz przewodnik!
Jak zjawiska społeczne kształtują reklamę w Polsce? Analizujemy wpływ trendów, ekologii, AI i inkluzywności na komunikację marek. Poznaj klucz do sukcesu.
Co to jest systematyka w biologii? Poznaj definicję, historię, hierarchię i współczesne metody. Dowiedz się, jak porządkujemy życie i dlaczego to ważne!